2.1 행렬

  • m x n 로 이루어진 실수들의 정사각 배열 _ $M_{mn}$
  • 행렬의 차원 : 행 x 열 개수의 곱(4 * 4 같은)
  • 원소(element) : 행렬을 구성하는 수
  • 행 벡터, 열 벡터 : 각각 행과 열이 하나 인 행렬
  • 속성
    • 대응되는 성분들이 상등일 때에만 상등
      • 비교하려면, 두 행렬의 차원이 같아야 함
    • 행렬 덧셈은 대응되는 성분들을 더함.
    • 하나의 스칼라 값을 곱할 때, 모든 성분에 곱 함.
    • 뺼셈은 스칼라 곱과 덧셈으로 정의 (A-B = A+(-1 $\cdot$ B))

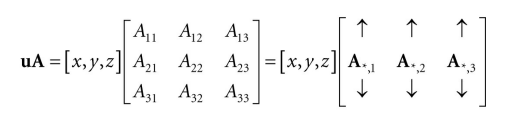
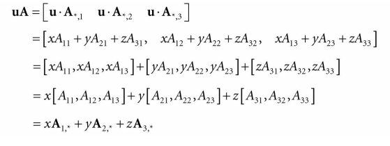
2.2 행렬 곱셈

  • $$ \mathbf{C} = \mathbf{A} \mathbf{B} = \begin{pmatrix}1 & 2 \\ 3 & 4\end{pmatrix} \begin{pmatrix}5 & 6 \\ 7 & 8\end{pmatrix} = \begin{pmatrix}1 \cdot 5 + 2 \cdot 7 & 1 \cdot 6 + 2 \cdot 8 \\ 3 \cdot 5 + 4 \cdot 7 & 3 \cdot 6 + 4 \cdot 8\end{pmatrix} = \begin{pmatrix}19 & 22 \\ 43 & 50\end{pmatrix} $$
  • 위의 식은 선형결합
    • u의 스칼라 계수와 nXm행렬의 선형결합

2.3 전치행렬

  • 행렬의 행들과 열들을 맞바꾼 것. __ $M^T$
  • 성질
    • $(A + B)^T=A^T+B^T$
    • $(cA)^T=cA^T$
    • $(AB)^T = B^TA^T$
    • $(A^T)^T = A$
    • $(A^{-1})^T=(A^T)^{-1}$

2.4 단위행렬 (identity matrix)

  • 정의 : 주대각 성분만 1 이고, 나머지는 0인 정방행렬__ I
    • $$\mathbf{I} = \begin{pmatrix}
      1 & 0 & 0 \\ 0 & 1 & 0 \\ 0 & 0 & 1 \\ \end{pmatrix}
      $$
  • 정방행렬(square metrix) : 행과 열 수가 같은 정사각형 행렬
  • 주대각 성분(main diagonal) : 좌상->우하의 주된 대각선에 있는 성분
  • 성질
    • 어떤 행렬에 단위행렬을 곱해도 그 행렬 변화x
    • $AI = A$

2.5 행렬식 (determinant)

  • 정의 : 정방행렬을 입력받아서 실숫 값을 출력 ___ $det A$
  • 정방행렬 A는 만일 det A != 0, 일 때만 가역행렬이다

2.5.1 소행렬 (minor matrix)

  • m x n 행렬 A가 주어 졌을 떄, $\overline A_{ij}$ 는 i번쨰 행과 j번쨰 열을 삭제해서 나온 (n-1) x (m-1) 행렬

2.6 딸림행렬 (adjoint matrix)

  • 여인수 행렬
    • 여인수(corfactor) : $C_{ij} = (-1)^{i+j} det \overline A_{ij}$
    • 정의 : A의 각 성분을 여인수 계산해서 배치한 행렬 $C_A$
    • $$
      C_A = \begin{pmatrix}
      (-1)^{1+1} M_{11} & (-1)^{1+2} M_{12} & (-1)^{1+3} M_{13} \\(-1)^{2+1} M_{21} & (-1)^{2+2} M_{22} & (-1)^{2+3} M_{23} \\(-1)^{3+1} M_{31} & (-1)^{3+2} M_{32} & (-1)^{3+3} M_{33}
      \end{pmatrix}$$
  • 딸림 행렬
    • $C_A$의 전치행렬을 A의 딸림행렬 (adjoint matrix) 라고 함.
    • $A^{*}=C^{T}_{A}$

2.7 역행렬 (inverse matrix)

    • 정의 : 행렬 대수에서의 곱셈의 역원
      • 정방행렬에만 존재
      • n x n 행렬 $M$의 역은 n x n 행렬 $M^{-1}$
      • 역행렬이 있다 = 가역행렬(invertible matrix)
      • 역행렬이 없다 = 특이행렬(singular matrix)
      • 역행렬이 존재하는 경우, 그 역행렬은 고유
      • $MM^{-1} = M^{-1}M = I$ (행렬과 그 역행렬의 곱은 단위행렬)
    • 예시
      • $p^{'}=pM$ 행렬 방정식이 있을 떄, $p^{'}$와 $M$을 알고 $M$은 가역행렬이면 $p$는 다음과 같이 구할 수 있다.
      • $p^{'}M^{-1}=pMM^{-1}$ // 등식의 양변에 $M^{-1}$ 곱하기
      • $p^{'}M^{-1}=pI$ // 역행렬 정의에 의해 $MM^{-1}=I$
      • $p^{'}M^{-1}=p$ // 단위행렬 정의에 의해 $PI = p$
    • 예시 (딸림 행렬, 행렬식 이용)
      • $A = \begin{pmatrix}a_{11} & a_{12} \\ a_{21} & a_{22}\end{pmatrix}$ , $\det(A) = a_{11}a_{22} - a_{12}a_{21}$
      • $C_A = \begin{pmatrix}a_{22} & -a_{12} \\ -a_{21} & a_{11}\end{pmatrix}$, $C^T_A = \begin{pmatrix}a_{22} & -a_{21} \\ -a_{12} & a_{11}\end{pmatrix}$
      • $$A^{-1} = \frac{1}{\det A} C^T_A = \frac{1}{a_{11}a_{22} - a_{12}a_{21}} \begin{pmatrix}
        a_{22} & -a_{21} \\ a_{12} & a_{11}
        \end{pmatrix}
        $$
        • 행렬 M에 대해 위의 식을 적용하면,
        • $$
          M = \begin{pmatrix}
          3 & 0 \\ 1 & 2
          \end{pmatrix}
          $$
          $$ \det(M) = (3 \cdot 2) - (0 \cdot -1) = 6$$
          $$
          C_M = \begin{pmatrix}
          2 & 1 \\ 0 & 3
          \end{pmatrix}
          $$
          $$
          C^T_M = \begin{pmatrix}
          2 & 0 \\ 1 & 3
          \end{pmatrix}
          $$
          $$
          M^{-1} = \frac{1}{\det M} C^T_M = \frac{1}{6} \begin{pmatrix}
          2 & 0 \
          1 & 3
          \end{pmatrix} = \begin{pmatrix}
          \frac{1}{3} & 0 \\ \frac{1}{6} & \frac{1}{2}
          \end{pmatrix}
          $$
          $$
          M \cdot M^{-1} = \begin{pmatrix}
          3 & 0 \\ 1 & 2
          \end{pmatrix}
          \begin{pmatrix}
          \frac{1}{3} & 0 \\ \frac{1}{6} & \frac{1}{2}
          \end{pmatrix} = \begin{pmatrix}
          1 & 0 \\ 0 & 1
          \end{pmatrix} = \begin{pmatrix}
          \frac{1}{3} & \frac{1}{6} \\ 0 & \frac{1}{2}
          \end{pmatrix}
          \begin{pmatrix}
          3 & 0 \\ 1 & 2
          \end{pmatrix}
          $$
        • A와 B가 같은 차원의 가역 정방행렬 일 떄, 다음이 성립
          • $(AB)^{-1} = B^{-1}A^{-1}$
          • 위의 식을 증명하려면,
          • $(AB)(B^{-1}A^{-1}) = A(BB^{-1})A^{-1} = AIA^{-1} = AA^{-1} = I$
          • $(B^{-1}A^{-1})(AB) = B^{-1}(A^{-1}A)B = B^{-1}IB = B^{-1}B = I$

번외

      • 코사인 법칙
        • $c^2 = a^2 +b^2 - 2 ab cos(\theta)$

'프레임워크 > DirectX' 카테고리의 다른 글

Direct3D의 초기화_게임프레임워크&타이머 코드 의문점  (0) 2025.03.07
04.Direct3D의_초기화03  (1) 2025.03.04
04.Direct3D의_초기화02  (0) 2025.03.04
04.Direct3D의_초기화01  (1) 2025.03.01
01.Vector  (0) 2025.02.25

+ Recent posts

let textNodes = document.querySelectorAll("div.tt_article_useless_p_margin.contents_style > *:not(figure):not(pre)"); textNodes.forEach(function(a) { a.innerHTML = a.innerHTML.replace(/`(.*?)`/g, '$1'); });